Partes da esfera e superfície esférica
Existem partes da esfera que recebem nomes específicos, como o fuso esférico, a cunha esférica, zona esférica e calota esférica. Vamos conhecer cada uma delas?
Um fuso esférico é equivalente a um fuso horário. O fuso horário é a divisão de uma esfera em 24 partes e, assim, configura um fuso esférico formado por uma semicircunferência que girou apenas 15°.
Exemplo:
Qual é a área do fuso esférico de ângulo igual a 15º, cujo o raio da esfera mede10cm?
Corresponde à parte da esfera obtida ao girar um semicírculo em torno de seu eixo.
- ÁREA DA ZONA ESFÉRICA:
A zona esférica é uma parte da esfera que foi cortada por dois planos paralelos entre si e perpendicularmente ao eixo e rotação da esfera.
- ÁREA DA CALOTA ESFÉRICA:
Ou seja, a fórmula de área é a mesma:

Como a esfera tem centro na origem, temos que a = 0 e b = 0, logo:


O pi é constante, então:
Integrando em relação a x, obtemos:
Aplicando os limites:
Precisamos achar uma relação para o produto das raízes, vamos usar a seguinte relação e elevar o h ao quadrado:
- FUSO ESFÉRICO (SUPERFÍCIE)
O fuso esférico é a parte da superfície formada pelo giro de uma semicircunferência em graus em torno do diâmetro da esfera.
Um fuso esférico é equivalente a um fuso horário. O fuso horário é a divisão de uma esfera em 24 partes e, assim, configura um fuso esférico formado por uma semicircunferência que girou apenas 15°.
O cálculo dela é simples, basta usarmos a regra de três simples:
Se a área da esfera é calculada por 4ℼr² tendo o seu angulo total de 360º, quanto será a área do fuso para o ângulo específicado:
360º - 4ℼr²
𝛂 - x
Podemos realizar o cálculo em radiano, também:
Lembrando que 360º é igual a 2ℼ rad:
2ℼ - 4ℼr²
𝛂 - x
Qual é a área do fuso esférico de ângulo igual a 15º, cujo o raio da esfera mede10cm?
360º - 4ℼr²
15º - x
360x = 15.4ℼ10²
360x = 60ℼ100
360x = 6000ℼ
x = 6000ℼ/360
x = 16,67ℼcm²
- CUNHA ESFÉRICA (VOLUME)
Usamos a regra de três para cálcular o fuso horário que se refere à área dessa parte da esfera. Aqui, também utilizaremos a regra de três, com a diferença de que, nesse caso, o cálculo se refere ao volume.
Como o volume da esfera é calculado por quatro terço do pi multiplicado ao raio elevado ao cubo, e o ângulo da esfera total é de 360º ou 2ℼ rad. Quanto medirá o volume para o ângulo alfa:
Exemplo:
Qual é o volume da cunha esférica de ângulo igual a 15º, tendo a esfera raio de 10cm?Se para a altura H temos 2.R e sua área total é calculada por: 4ℼR², quanto será a área para a altura h?
Logo, a área da zona esférica é:Exemplo:
Qual é a área da zona esférica de raio igual a 10cm e altura igual a 15cm?
Az = 2ℼRh
Az = 2ℼ.10.15
Az = 300ℼcm²
Uma calota esférica, em geometria, é a parte de uma esfera cortada por um plano.
A proporção para o cálculo da calota esférica é o mesmo que foi utilizado na zona esférica:
Se para a altura H temos 2.R e sua área total é calculada por: 4ℼR², quanto será a área para a altura h?
Exemplo:
Qual é a área da calota esférica de raio igual a 10cm e altura igual a 3cm?
Ac = 2ℼRh
Ac = 2.ℼ.10.3
Ac = 60ℼcm²
- VOLUME DA CALOTA ESFÉRICA:
A fórmula para cálculo do volume da calota é dado por:
Mas de onde vem essa fórmula?
Seguindo a postagem do Baricentro da mente: https://www.obaricentrodamente.com/2010/09/volume-de-uma-calota-esferica.html
Partindo da equação reduzida da circunferência:
Como a esfera tem centro na origem, temos que a = 0 e b = 0, logo:
Vamos supor que a calota esférica é formada por vários cilindros de altura infinitesimais dx e raio y, no qual, o raio muda em cada ponto h:
Sabemos que o volume do cilindro é dado por:
V = Ab. h
V = ℼr² . h
Nesse caso o r é o y e o h é o dx, então:
V = ℼy² . dx
Vamos definir os limites de integração serão de r–h até r.
Então, a soma destes infinitos cilindros de alturas infinitesimais forma a calota esférica será:
Vamos substituir o valor do y pelo da fórmula da equação reduzida da circunferência:
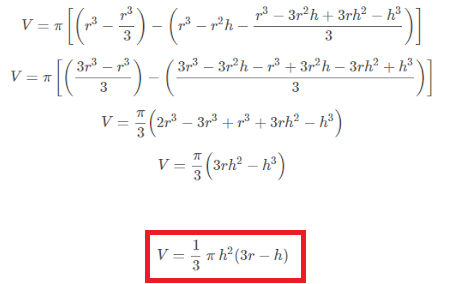
Aplicando os limites:
Resolvendo:Exemplo:
Qual é o volume da calota esférica de raio igual 5cm e altura igual a 8cm?
Mas de onde vem essa fórmula?
Vamos voltar na fórmula do volume da calota na seguinte expressão:
V = ℼy² . dx
Vamos definir novos limites de integração para esse caso, que serão, pela relação de Pitágoras:
Agora, vamos calcular novamente:
O pi é constante, então:
Vamos substituir o valor do y pelo da fórmula da equação reduzida da circunferência:
Integrando em relação a x, obtemos:
Observe a seguinte relação ainda:
Então, podemos substituir tudo o que for subtração das raízes de R² -r1² por R² - r2² por h:Vamos substituir na fórmula:
vídeo:
Atividade geogebra:































